登录
注册账号
|
忘记密码
社交账号登录
首页
权威发布
高端访谈
名人专栏
深度报道
百家论坛
东海观潮
总编信箱
世界华人联谊会
空想人类共和国
时政
国际
国内
港澳台
社会
民生
法制
娱乐
文化
文史
教育
科技
军体
军事
体育
健康
财经
创业
经济
金融
华人
资讯
声音
维权
移民留学
法律咨询
广告特刊
内部须知
关于我们
今日焦点
首页
>
文化
>
教育
增设21种新专业!本科专业目录更新→
作者:华人报编辑员
更新时间:2023-04-21
点击数:
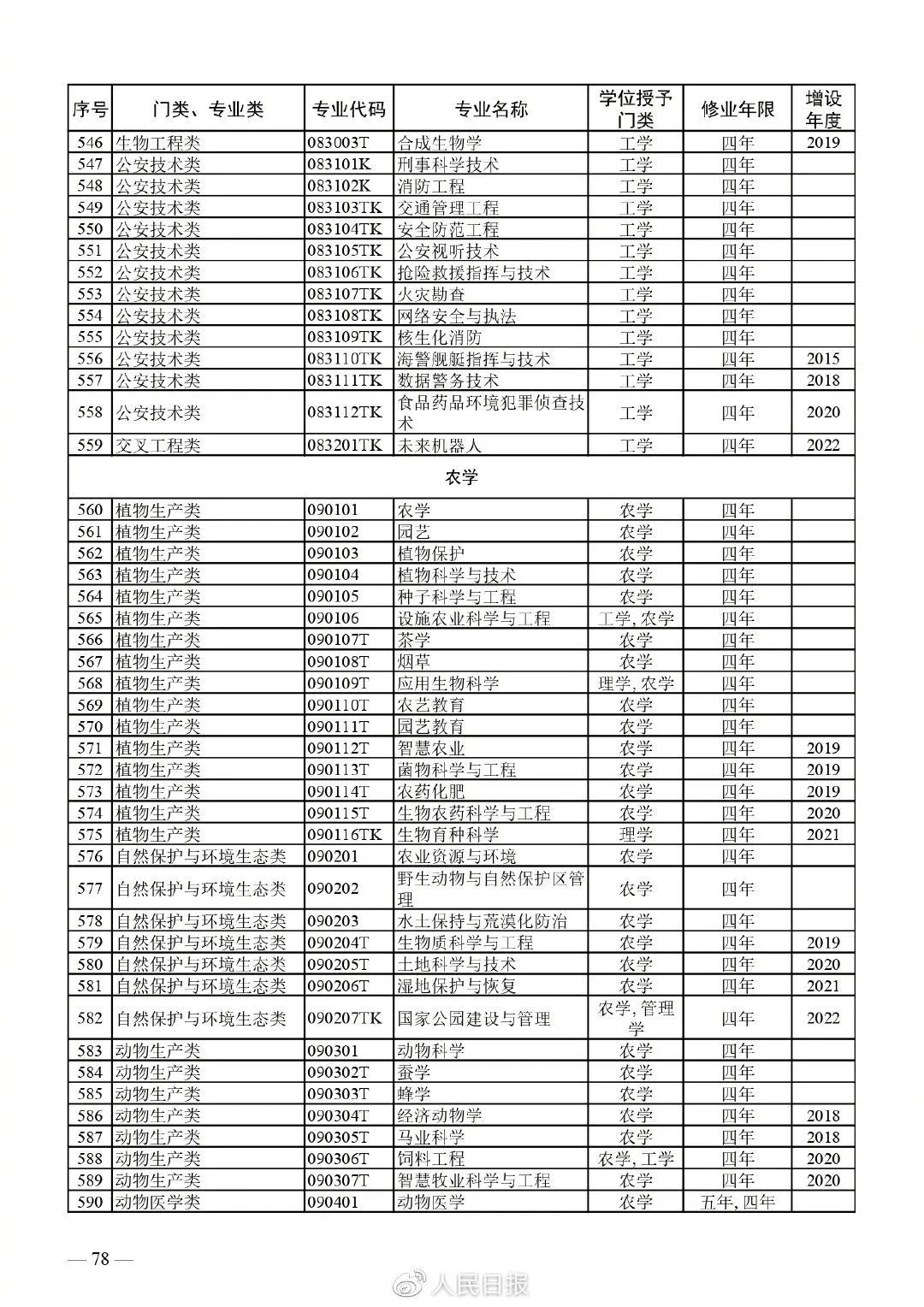
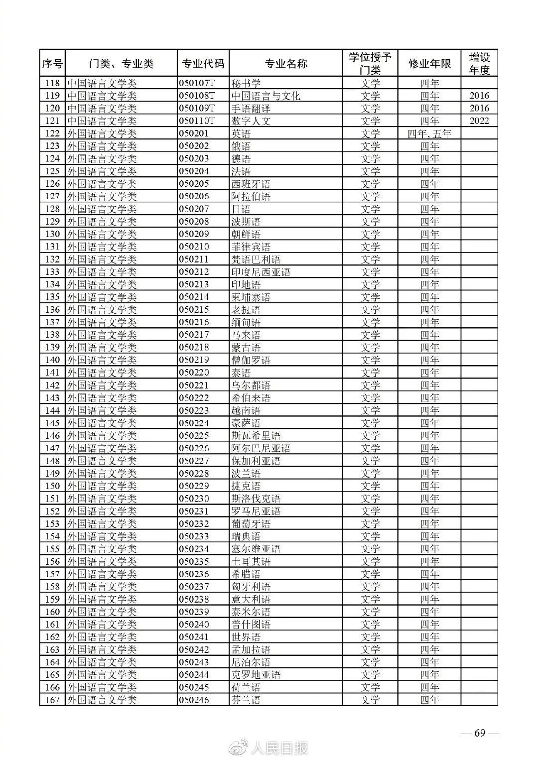
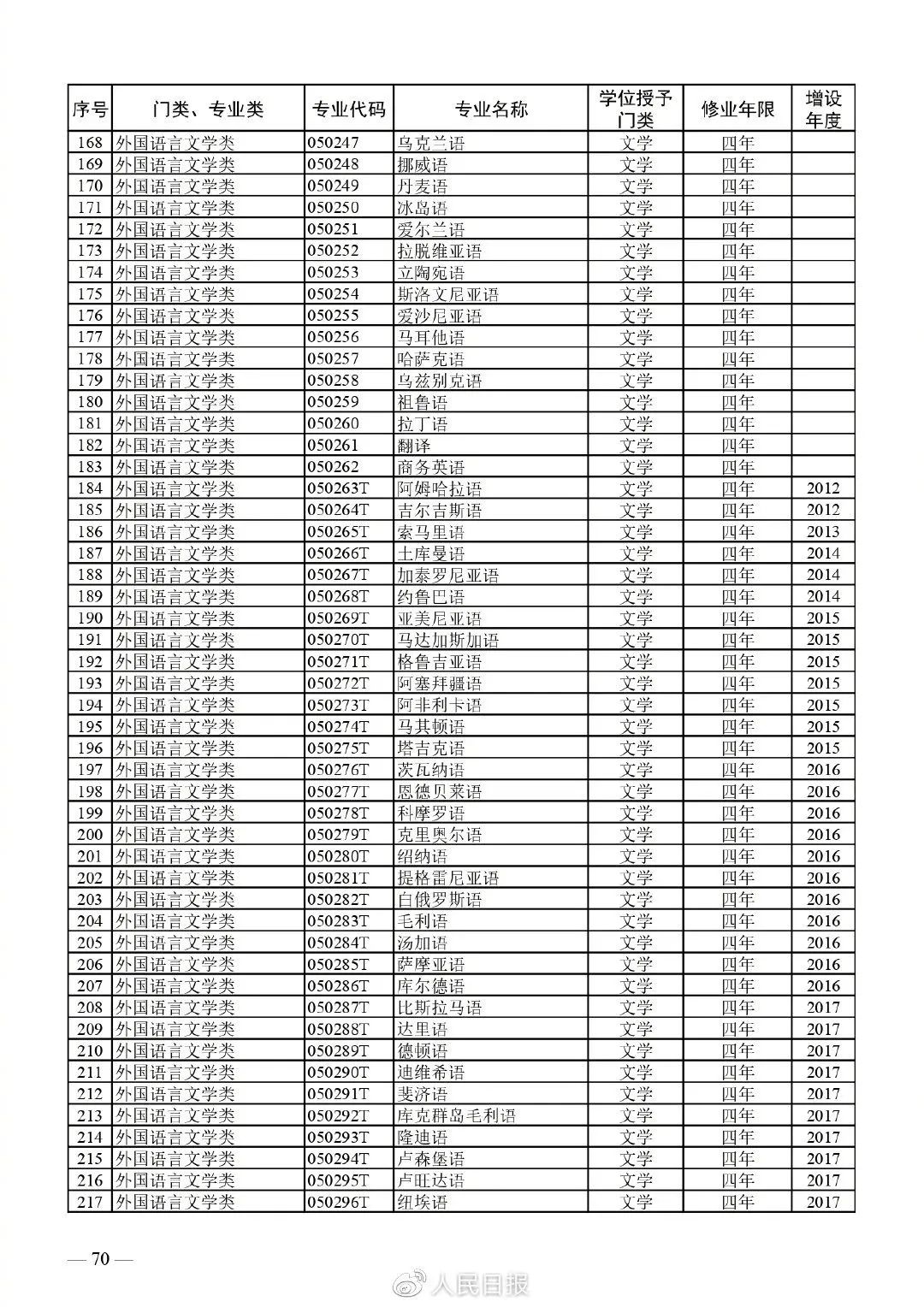
日前,教育部公布了2022年度普通高等学校本科专业备案和审批结果,新增备案专业1641个、审批专业176个(含150个国家控制布点专业和21种、26个目录外新专业),调整学位授予门类或修业年限专业点62个。本次备案、审批和调整的专业,将列入相关高校2023年本科招生计划。另对部分高校申请撤销的925个专业点予以备案。
教育部积极引导高校开设国家战略和区域发展急需的相关专业,此次新增了地球系统科学、生物统计学、未来机器人、安全生产监管、国家公园建设与管理、医工学、乡村治理、家庭教育、无障碍管理等21种新专业,并正式纳入《普通高等学校本科专业目录》。为支持高校积极探索推进学科专业交叉融合,培养复合型拔尖创新人才,首次在工学门类下增设交叉工程专业类。截至目前,本科专业目录共包含93个专业类、792种专业。
据统计,此次专业增设、撤销、调整共涉及2800余个专业布点,占目前专业布点总数的4.5%。从学科门类看,工学所涉专业数量最多,有1074个;从区域布局看,涉及中西部高校的专业有1503个,占比超过50%。本科专业类型结构和区域布局结构进一步优化,高校主动服务经济社会发展的意识和能力进一步增强。
你对哪个专业感兴趣?
来源|教育部网站,图片:@人民日报
加入收藏
上一篇:
三大岗位被移出 “编制” ?铁饭碗成为合同工?老师也不例外!
下一篇:
求职高峰期,毕业生求职需警惕!这份求职骗局和防骗锦囊请收藏
返回列表
随便看看
各地各高校深入开展促就业“暖心行动” 抢抓时间推进毕业生尽早就业
录取通知书出现错字,巢湖学院致歉
凌晨两点还在聊,有小学生沉迷AI恋爱!专家提醒……
生育高峰后人口下降 多出来的学校怎么办
“山河大学”,是个什么大学?
网传山西大学有外国留学生享受奖学金故意不毕业?校方辟谣
不只天赋“易昺”,浙江体育高质量发展带来哪些启示?
就业缺口超2000万,多所高校开设这个专业
来了!2023年高考作文题汇总
网课时代:再负责的老师,也没办法叫醒一个装睡的学生
产品推荐
朱东海再评 释永信事件不是终点 ——《朱东海时评:扒皮释永信》(续)
泣祭追思李永泰将军
邱淦清:做诚实守信的“珍贝”人
胡海峰的最新动态
寻找隐在隐龙山中的美茶姑